Предмет: Математика,
автор: ghplkww99
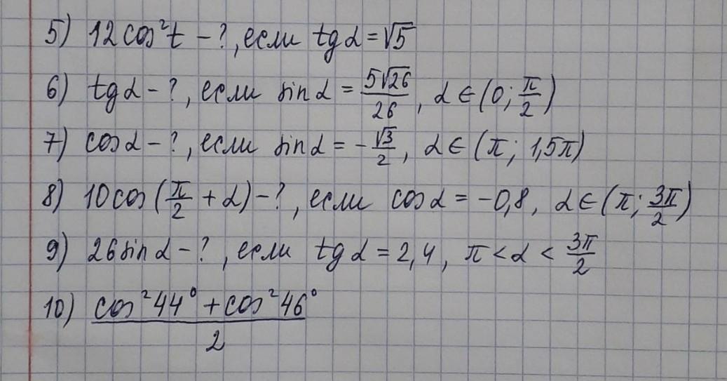
ПОМОГИТЕЕЕЕЕ ПОЖАЛУЙСТА!!!!!! дам сто балов
Приложения:
Ответы
Автор ответа:
1
Ответ:
Пошаговое объяснение:
Приложения:
Похожие вопросы
Предмет: Русский язык,
автор: Малевичникита
Предмет: Русский язык,
автор: anastasijagost
Предмет: Английский язык,
автор: Киса12311
Предмет: Литература,
автор: dada300103
Предмет: Қазақ тiлi,
автор: uzxxxdashaxxxzu