Предмет: Математика,
автор: dianitavasilcak68
помогитее срочно.....
Приложения:
Ответы
Автор ответа:
1
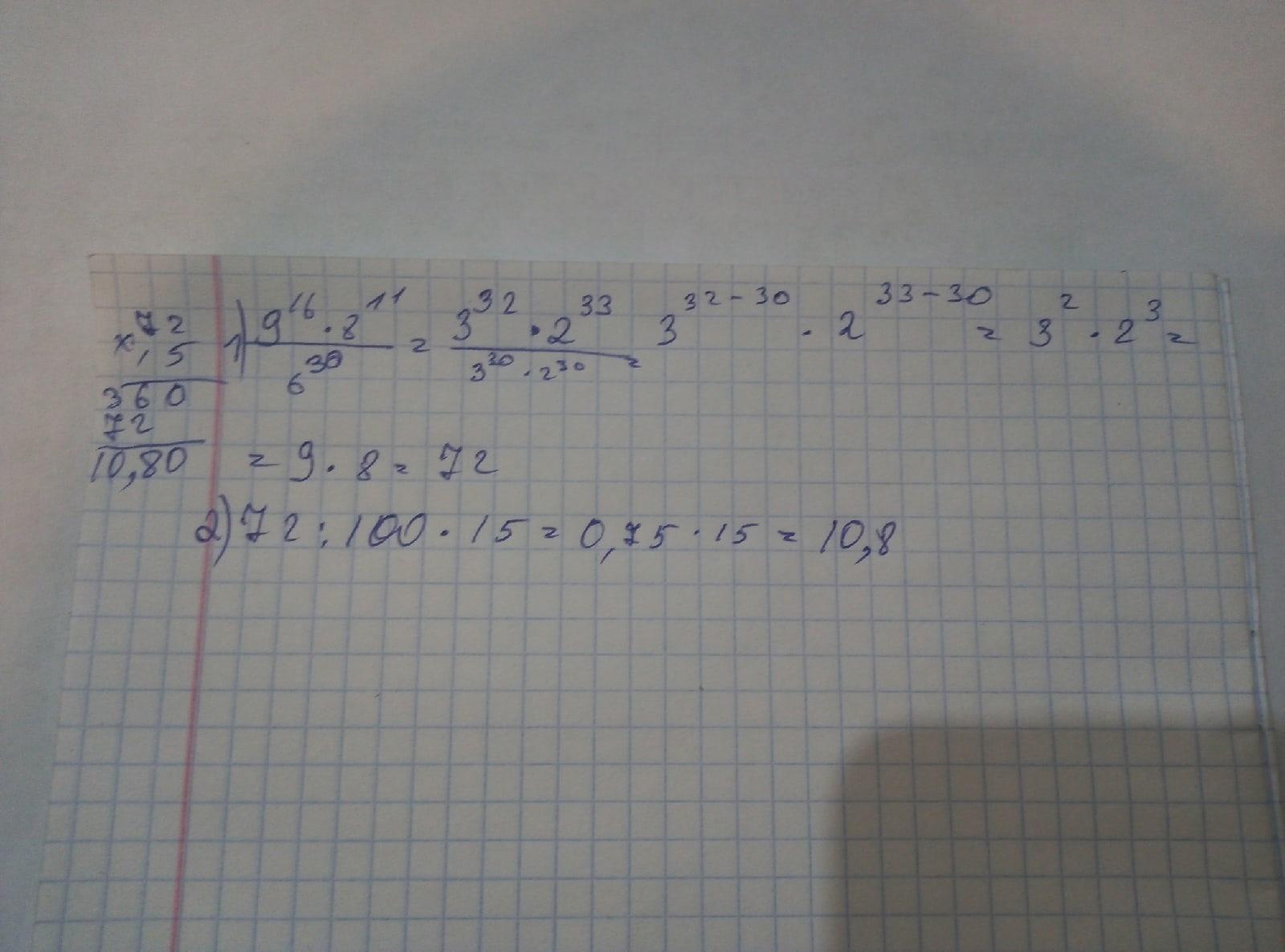
Ответ:
10,8
Пошаговое объяснение:
1)(9^16*8^11 ): 6^30=(3^32*2^33):(3^30*2^30)=3^(32-30)*2^(33-30)=3^2*2^3=9*8=72
2)72/100*15=0,72*15=10,8
Приложения:
Похожие вопросы
Предмет: Русский язык,
автор: isabella1204
Предмет: Русский язык,
автор: Лялька94
Предмет: Технология,
автор: apaem2909
Предмет: Математика,
автор: vlad5447