Предмет: Алгебра,
автор: pakizaturan
помогите пожалуйста кому не трудно....
Приложения:
rrinny:
сто сделать надо? задание?
Ответы
Автор ответа:
1
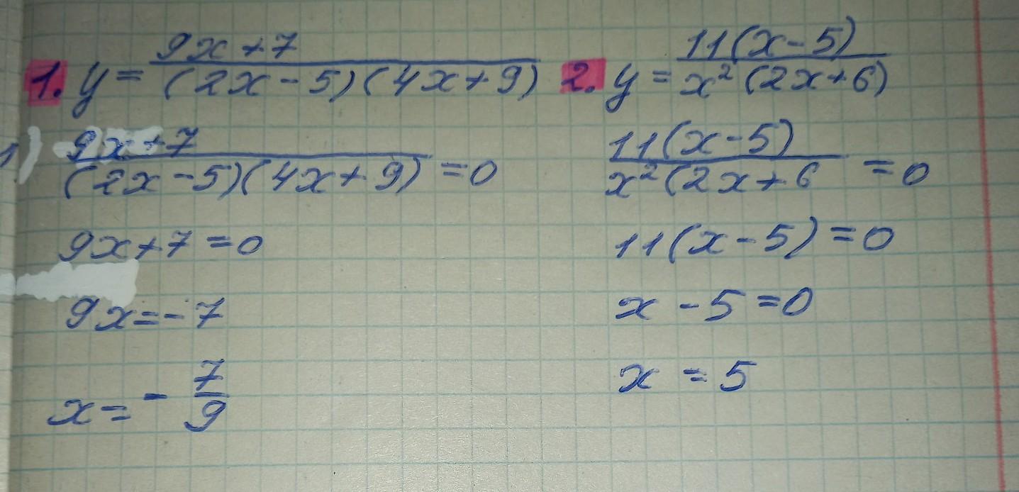
Ответ:
смотри на фото с решением
Приложения:
спасибо но уже поздно...
Похожие вопросы
Предмет: Русский язык,
автор: Egor8ka
Предмет: Українська мова,
автор: asija21
Предмет: Українська мова,
автор: fdxdvrtdxvvt
Предмет: Математика,
автор: milastaniul
Предмет: Литература,
автор: irisudareva