Предмет: Математика, автор: mariafenuk65

4. Решите уравнение. помогите пожалуйста​

Приложения:

Ответы

Автор ответа: Elena3982
1

Пошаговое объяснение:

Держи свой ответ.........

Приложения:
Автор ответа: SparTans00
1

Ответ:

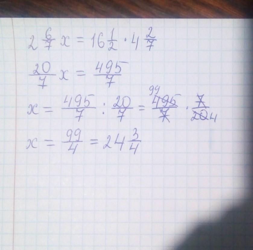
2\frac{6}{7} x=16\frac{1}{2} *4\frac{2}{7} \\\\\frac{20}{7}x=\frac{33}{2}*\frac{30}{7} \\\\x=\frac{\frac{33}{2}*\frac{30}{7}  }{\frac{20}{7} }   \\\\x=\frac{495}{7} * \frac{7}{20} = \frac{99}{4} \\\\x=\frac{99}{4}

Всего доброго!

Похожие вопросы
Предмет: Қазақ тiлi, автор: казактілі