Предмет: Математика,
автор: Аноним
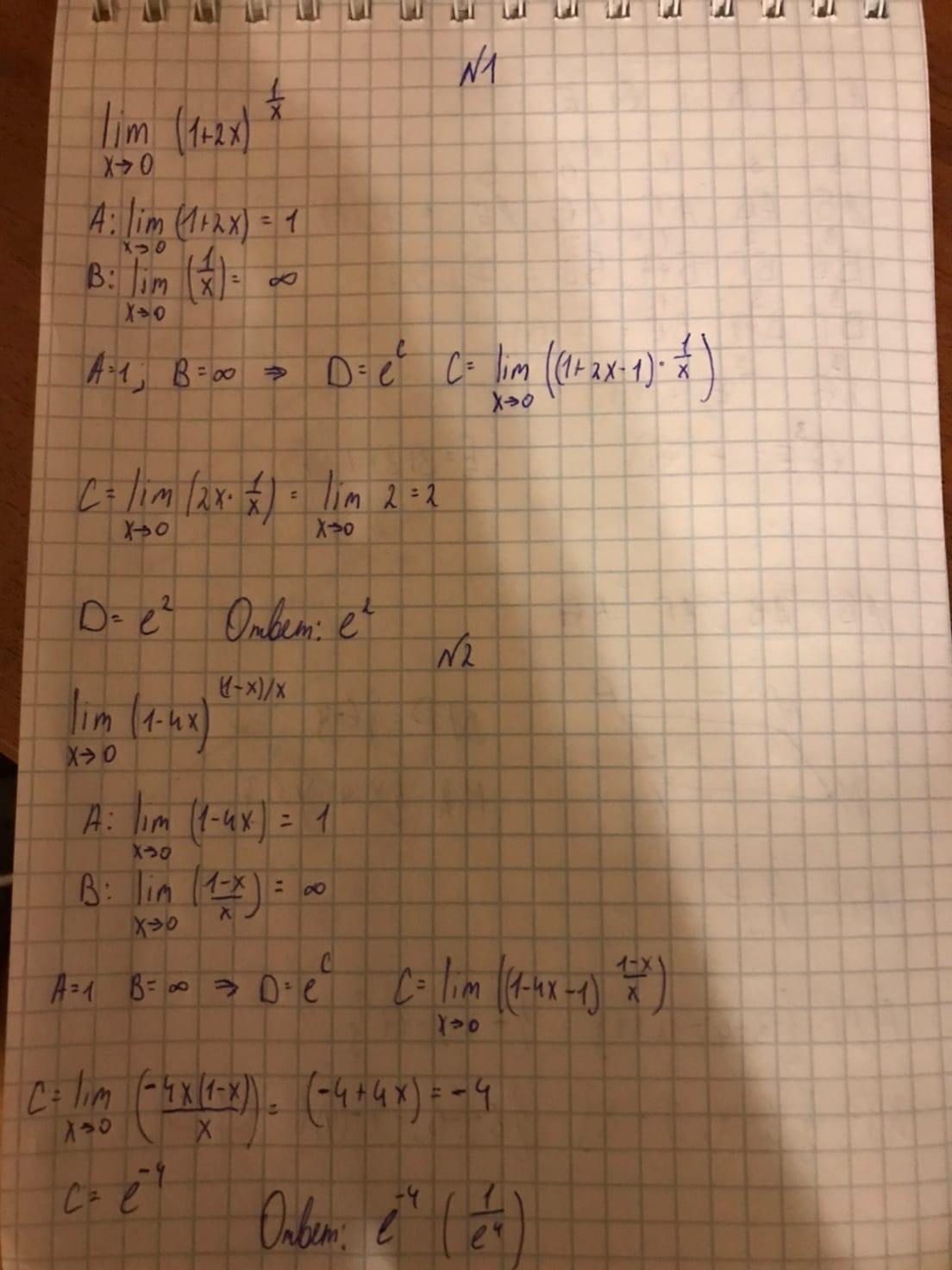
помогите решить задачу понятливый полный ответ нужен дам 18. #838 1вую и 2ую
Приложения:
Ответы
Автор ответа:
1
Ответ:
Ответ на фото
Пошаговое объяснение:
Приложения:
Похожие вопросы
Предмет: Технология,
автор: Светлана5731
Предмет: Қазақ тiлi,
автор: андрей1143
Предмет: Қазақ тiлi,
автор: Agzam12
Предмет: Математика,
автор: voznas
Предмет: Английский язык,
автор: nastyshka18