Предмет: Алгебра,
автор: mshirko2
срочно!! помогите :') дам 35 балов
Приложения:
Ответы
Автор ответа:
1
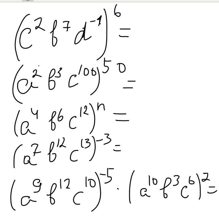
вот всё примеры, надеюсь видно
Приложения:
mshirko2:
СПАСИБО БОЛЬШОЕ!!!!!!
Автор ответа:
0
Ответ:1)c^12 b^42 d^-6
2)a^100 b^150 c^500
3)a^4n b^6n c^12n
4)a^-21 b^-36 c^-39
Объяснение:
Похожие вопросы
Предмет: Русский язык,
автор: yana3099
Предмет: Қазақ тiлi,
автор: Batirsaule
Предмет: Русский язык,
автор: Tigr47
Предмет: Математика,
автор: ichmaelz
Предмет: Английский язык,
автор: влад1483