Предмет: Математика,
автор: Аноним
помоги бро решить домашку
Приложения:
Elena3982:
Мне не видно 4 пример.
Ответы
Автор ответа:
0
Пошаговое объяснение:
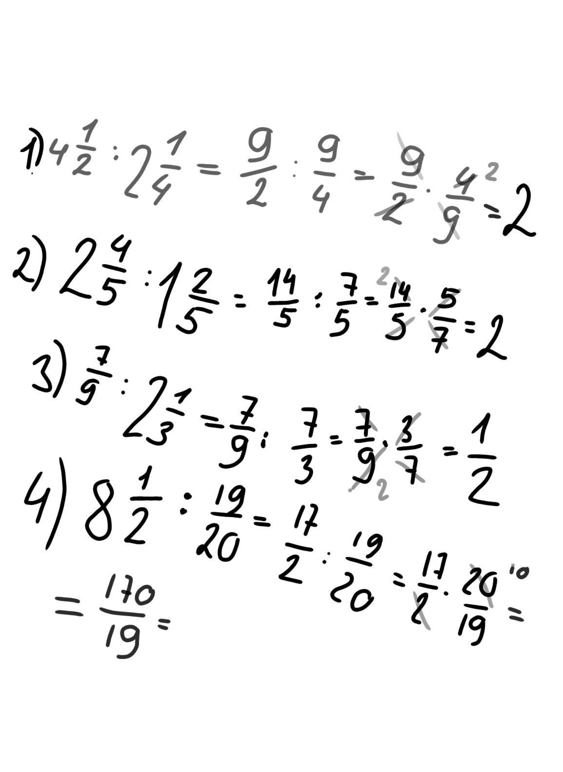
Держи свой ответ.........
Приложения:
Автор ответа:
0
Ответ:
Если что-то не понятно- спрашивай
Приложения:
Похожие вопросы
Предмет: Русский язык,
автор: марям3
Предмет: Русский язык,
автор: aLINA12122225555
Предмет: Русский язык,
автор: aLINA12122225555
Предмет: Математика,
автор: мир95
Предмет: Математика,
автор: oringalievna89