Предмет: Математика,
автор: violasvv
вот на фото решите пожалуиста
494 . Найдите значение выражений можете решить и показать на фото дам 30 балов!!!!
Приложения:
Ответы
Автор ответа:
3
Пошаговое объяснение:
Держи свой ответ.......
Приложения:
violasvv:
спасибо большое
Пожалуйста.
Автор ответа:
1
Ответ:
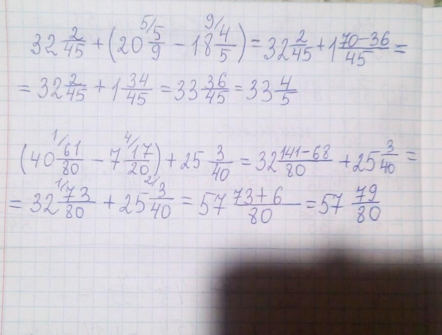
2)33 4/5. 4)57 79/80
Пошаговое объяснение:
*2)32 2/45+(20 5/9-18 4/5)=33 4/5
1)20 5/9-18 4/5(общ.знам.--45)=20 25/45-18 36/45
=19 70/45-18 36/45=1 34/45
2)32 2/45+1 34/45=33 36/45=33 4/5
*4)(40 61/80-7 17/20)+25 3/40=57 79/80
1)40 61/80-7 17/20(общ.знам.--80)
=40 61/80-7 68/80=39 141/80-7 68/80=32 73/80
2)32 73/80+25 3/40(общ.знам.--80)
=32 73/80+25 6/80=57 79/80
СПАСИБО
Похожие вопросы
Предмет: Технология,
автор: sveta240674
Предмет: Окружающий мир,
автор: polli2005
Предмет: Английский язык,
автор: Tyan27
Предмет: Другие предметы,
автор: vika9311
Предмет: Другие предметы,
автор: paladinomay