Предмет: Алгебра, автор: lozzisamp

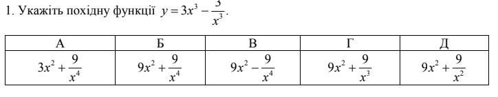
Укажіть похідну функції

Приложения:

Ответы

Автор ответа: sangers1959
1

Объяснение:

y=3x^3-\frac{3}{x^3} =3x^3-3x^{-3}.\\y'=(3x^3-3x^{-3})'=3*3*x^{3-1}-3*(-3)*x^{-3-1}=9x^2+9x^{-4}=9x^2+\frac{9}{x^4}.

Ответ: Б.


lozzisamp: Спасибо большое!!
sangers1959: Удачи.
Похожие вопросы
Предмет: Русский язык, автор: толеу1
Предмет: Русский язык, автор: геимер1