Предмет: Геометрия,
автор: smorodinovaviktoria0
1.Найдіть довжини медіан трикутника,якщо а)А(-4,-2) В(2,6) С(4,2)
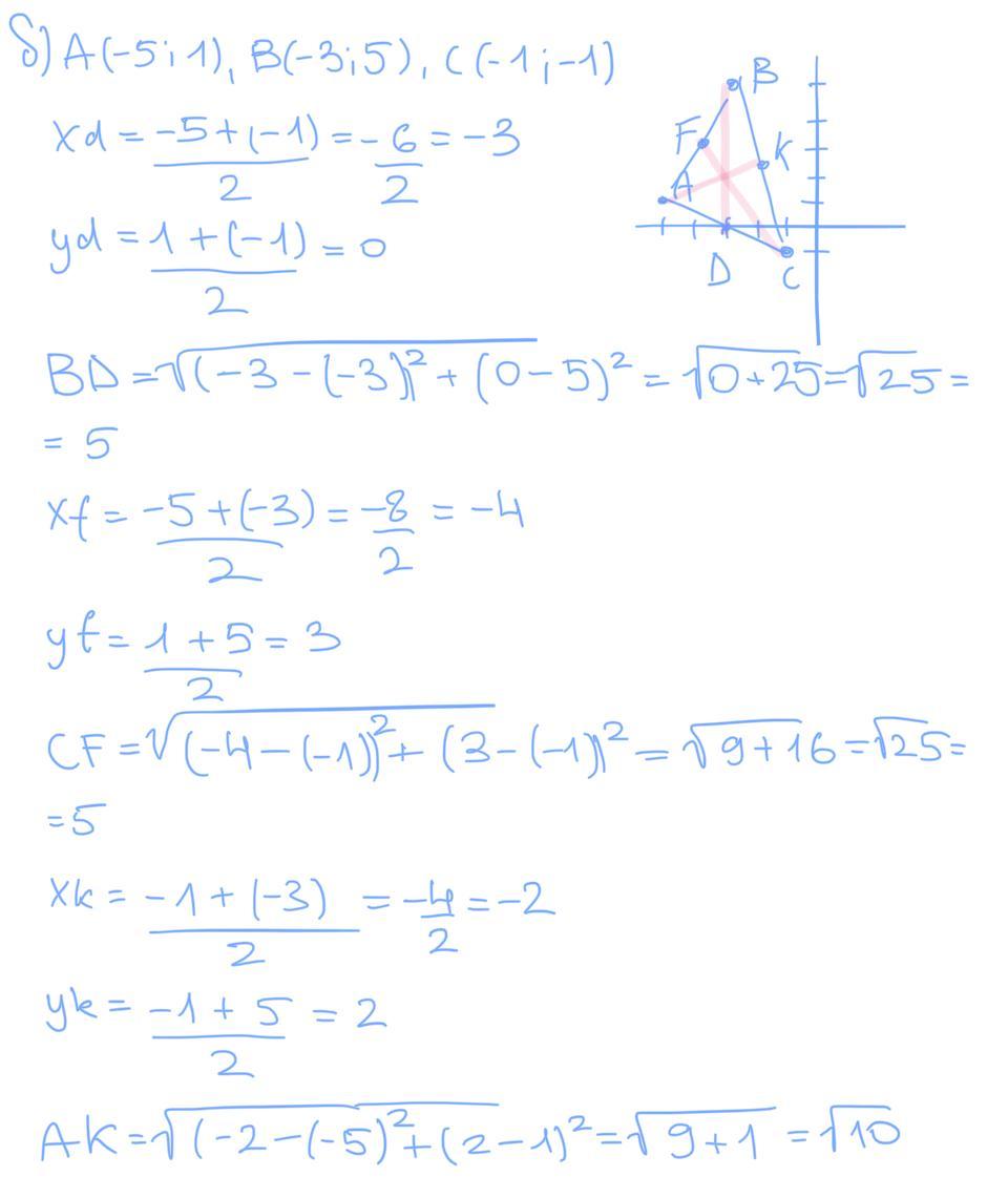
б) А(-5,1) В (-3,5) С(-1,-1)
Ответы
Автор ответа:
1
а) BD = 2√10, CF = 5, AK = √85
б) BD = 5, CF = 5, AK = √10
пояснення:
Приложения:
Похожие вопросы
Предмет: Қазақ тiлi,
автор: 12345678901234567123
Предмет: Английский язык,
автор: машенька557
Предмет: Английский язык,
автор: kosss998
Предмет: Алгебра,
автор: kiska2910
Предмет: Математика,
автор: Romzes48