Предмет: Алгебра,
автор: tollkachevroma962
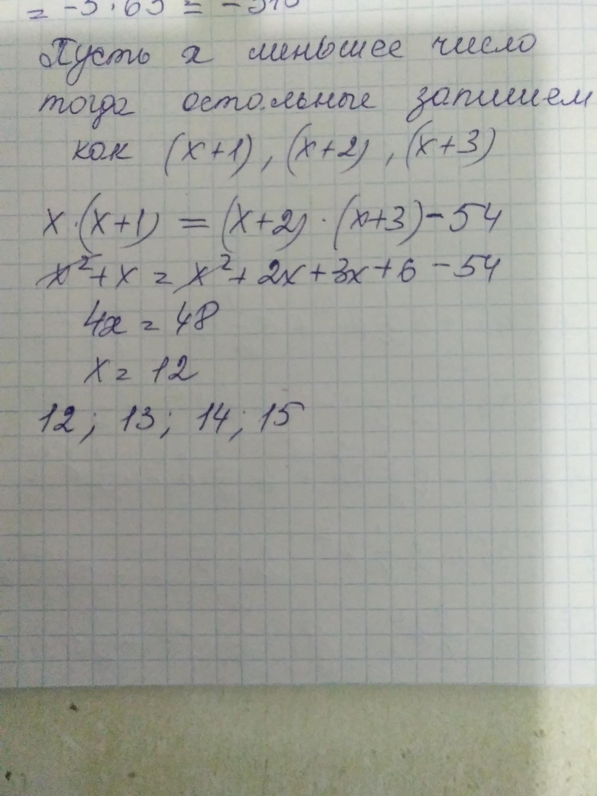
Найдите четыре последовательных целых числа, если произведение(помножить два числа) двух меньших из них на 54 меньше произведения двух больших.
MizoriesKun:
добутокэто произведение?
Найдите четыре последовательных целых числа, если произведение двух меньших из них на 54 меньше произведения двух больших.
Ответы
Автор ответа:
2
Смотри......................
Приложения:
Похожие вопросы
Предмет: Английский язык,
автор: aleksandryakin3
Предмет: Немецкий язык,
автор: KiriketHirik
Предмет: Окружающий мир,
автор: timondial
Предмет: Английский язык,
автор: karyzhka
Предмет: Литература,
автор: бчиа982