Предмет: Математика, автор: alina84269

ПОМОГИТЕЕЕЕЕ!!ДАМ 30 БАЛОВ​

Приложения:

Ответы

Автор ответа: daarkness
2

Ответ:

 \frac{20}{3}

Пошаговое объяснение:

Превращаем 15.25 в дробь,а смешанные дроби в неправильные

( \frac{61}{4}  -  \frac{41}{12}  +  \frac{20}{9}  -  \frac{5}{2} ) \div ( \frac{91}{15}  -  \frac{13}{3} )

Находим общий знаменатель - 36 и домножаем числа, и у меня вышло

( \frac{549 - 123 + 80 - 90}{36} )\div( \frac{91}{15}  -   \frac{13}{3})

Теперь просто считаем результат

\frac{416}{36} \div ( \frac{91}{15} - \frac{13}{3})

Скорачиваем дробь на 4

\frac{104}{9} \div ( \frac{91}{15} - \frac{13}{3})

Теперь ищем общий знаменатель второй пары дроби - 15 вторую дробь домножаем на 5

\frac{104}{9} \div \frac{91 - 65}{15}

И при вычитании получается \frac{26}{15}

Чтобы поделить дробь на дробь нам нужно её перевернуть и умножить тоесть \frac{104}{9} × \frac{15}{26}

Скорачиваем 15 и 9;104 и 26

\frac{4}{3} × 5

И получается [tex]\frac{20}{3} [\tex]


alina84269: Спасибо
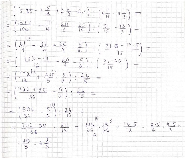
Автор ответа: kvez
1

Ответ: 20/3 или 6. 2/3

Приложения:

alina84269: Спасибо
Похожие вопросы