Предмет: Химия,
автор: ToT777KoT
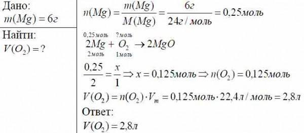
Решить задачу: Вычислите массу, кислорода, который потребуется для сжигания порошка магния массой 6г.
Ответы
Автор ответа:
1
Ответ:
Держи
Объяснение:
аоаовьвдыдвдвдададада
Приложения:
Автор ответа:
1
Объяснение:
в инете нашла 388383828% правильно
Приложения:
Похожие вопросы
Предмет: Русский язык,
автор: bjuljaserik
Предмет: Русский язык,
автор: megaievghienii
Предмет: Русский язык,
автор: Tanker228
Предмет: Английский язык,
автор: Аноним
Предмет: Другие предметы,
автор: рорпполпоппло