Предмет: Математика,
автор: maksimfikulin
срочно! пожалуйста!
Приложения:
Ответы
Автор ответа:
0
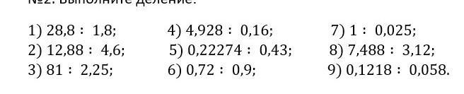
Ответ:
1) 16
2)2,8
3) 36
4)30,8
5)0,518
6)0,8
7)40
8)2,4
9)2,1
Пошаговое объяснение:
Похожие вопросы
Предмет: Русский язык,
автор: гузель86
Предмет: Русский язык,
автор: 1231699
Предмет: Английский язык,
автор: Ксенияшшш
Предмет: Английский язык,
автор: sans1714
Предмет: Геометрия,
автор: likalikalikalika69