Предмет: Алгебра,
автор: Yrikonchik
Знайдіть різницю многочленів
Приложения:
Ответы
Автор ответа:
1
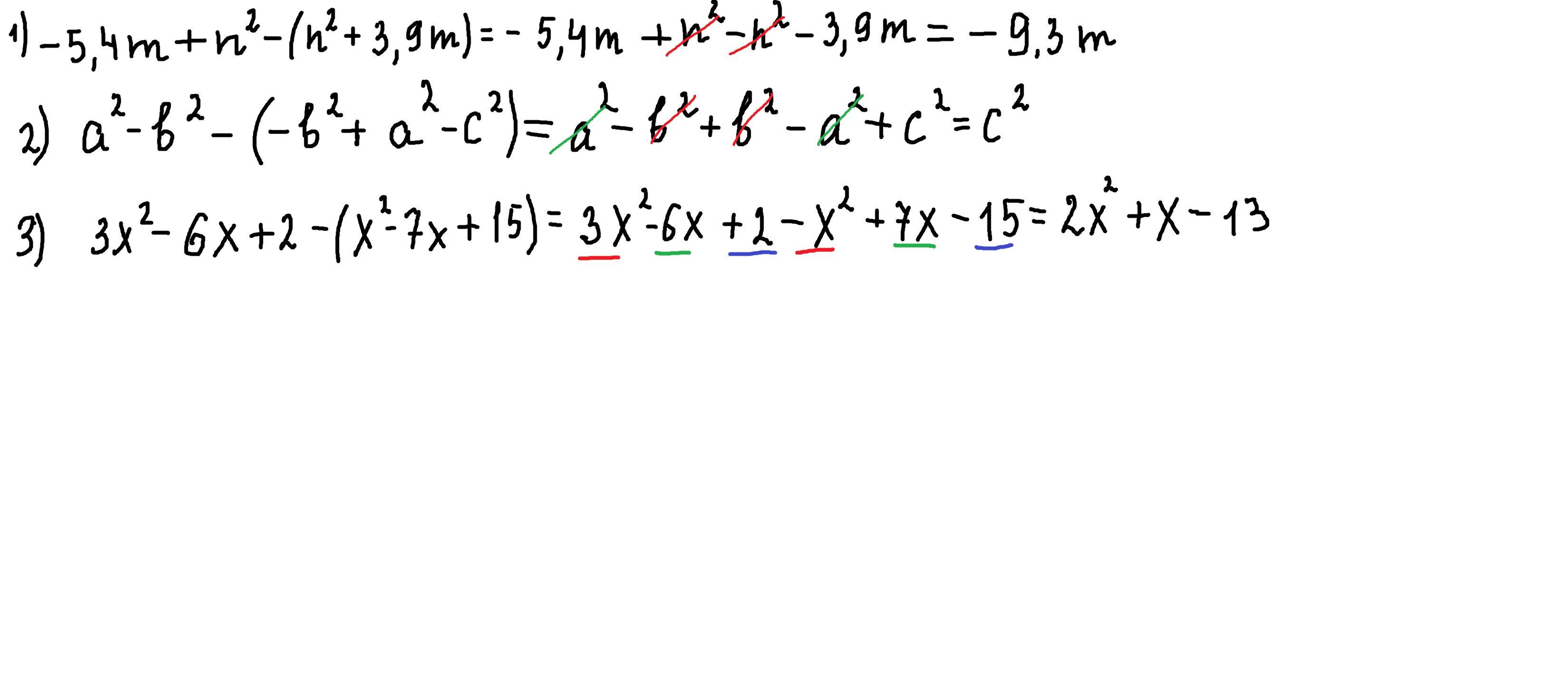
Объяснение:
1)-5,4m+n²-n²-3,9m= -9,3
2)a²-b²+b²-a²+c²=c²
3)3x²-6x+2-x²+7x-15= 2x²+x-13
Автор ответа:
1
Ответ:
Объяснение:
решение визу
Приложения:
Похожие вопросы
Предмет: Русский язык,
автор: sunmm
Предмет: Українська мова,
автор: Аноним
Предмет: Другие предметы,
автор: cegth123456789
Предмет: Українська мова,
автор: gamesfifaclub
Предмет: Математика,
автор: Аноним