Предмет: Математика,
автор: Аноним
ПЕППЕР ПОМОГИ С МАТЕМАТИКОЙ ЕСЛИ МОЖЕШ
Приложения:
Ответы
Автор ответа:
1
Ответ:
Пошаговое объяснение:
Х=864-395=469 х =469
Z=584-213=371 z=371
Y=300-206=94 y=94
T=308+307=615 t=615
M=166+34=200 m=200
K=81-59=22 k=22
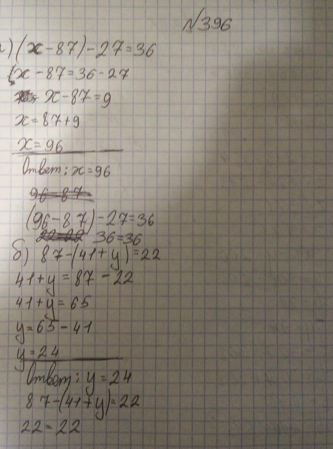
X-87=36+27=63 x=63+87=150
41+y=87-22=65 y=65-41=24
Автор ответа:
1
Надеюсь помогла
удачи.
Приложения:
Похожие вопросы
Предмет: Русский язык,
автор: Nanantntntntt
Предмет: Русский язык,
автор: Аноним
Предмет: Русский язык,
автор: фаезбек1
Предмет: Алгебра,
автор: smiterrrr
Предмет: Русский язык,
автор: gorhmaz2012