Предмет: Алгебра, автор: nagurnayaksuhsa

10 БАЛЛОВ!!!! СРОЧНО!!!!! решите пожалуйста подробно​

Приложения:

Ответы

Автор ответа: btstaetae997
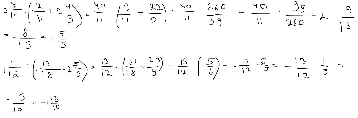
1

Ответ:

на фото

Объяснение:

удачи!!!

Приложения:
Похожие вопросы
Предмет: Окружающий мир, автор: не605
Предмет: Английский язык, автор: diana205
ПОМОГИТЕ ПЕРЕВЕСТИ НА АНГЛИЙСКИЙ !!!!


1.Твой друг вернулся из Италии? - Да. Я встретил его в аэропорту два дня назад.
2.Она уже отправила письма? - Нет. Она еще не напечатала их.
3.Я вам еще не показывал свои фотографии? -Вы показывали их на прошлой недели.
4.Когда она уехала в Великобританию? - Она еще не уехала.
5.Ты встречал сегодня Нелли? - Нет,я еще не видел ее сегодня.
6.Когда он купил этот диск? - Он купил его три дня назад.
7.Где вы побывали в этом году? -Мы побывали на море. Мы были там два месяца назад.
8.С кем она только что разговаривала? - Она разговаривала со своим братом. Он вернулся из Японии неделю назад.
9.Как давно она вас знает? -Мы знаем друг друга уже шесть лет.
10.Какое платье вы выбрали? - Я еще не выбрала платье.
11.Девочки играют в волейбол уже пятнадцать минут.
12.Он не разговаривает с нами уже три дня.
13.Она ищет этот дом уже сорок минут.
14.Как долго вы ждете секретаря? -Я жду уже полчаса.
15.Моя сестра изучает историю этой страны уже два года.
16.Где Анна? - Она что то пишет в своей комнате. Она пишет с утра и еще даже не обедала.
17.Он всегда приходит в бассейн по вторникам? - Да. Он плавает с пяти лет. Сейчас он готовится к международным соревнованиям.
18.Вы пьете кофе? - Да. Я пью кофе с молоком. А вы любите кофе? - Нет,я предпочитаю чай.
19.Какой фильм они смотрят? - Они смотрят боевик. Они смотрят его уже больше часа.
20.Где ваши родители сейчас? - Они путешествуют по Европе. Они путешествуют уже три недели. Они уже посетили три страны.
17:55:36
Маша набирает сообщение..
Предмет: Математика, автор: pashalievramazan220