Предмет: Алгебра,
автор: monnika74
Срочно помогите решить уравнения
Приложения:
Ответы
Автор ответа:
1
отметь как лучший ответ пожалуйста!!!
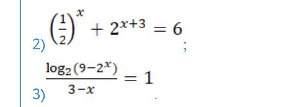
2) 1/2^х +2^х*8=6
2^х=1/4, 2^х=1/2
х=-2, х=-1
3) log2(9-2^x)/3-x
9-2^x=2^3-x
9-2^x=8*1/2^x
2^x=1
2^x=8
x=0
2) 1/2^х +2^х*8=6
2^х=1/4, 2^х=1/2
х=-2, х=-1
3) log2(9-2^x)/3-x
9-2^x=2^3-x
9-2^x=8*1/2^x
2^x=1
2^x=8
x=0
Похожие вопросы
Предмет: Другие предметы,
автор: vodorod3122
Предмет: Русский язык,
автор: nakan3
Предмет: Русский язык,
автор: Матента
Предмет: Русский язык,
автор: rogao07
Предмет: Литература,
автор: pleasehelppp