Предмет: Математика,
автор: Yliianna
Помогите пожалуйста, 6 клас!
Приложения:
Ответы
Автор ответа:
2
Ответ:
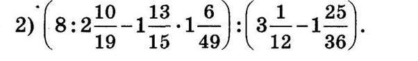
(8:48/19-28/15*55/49):(37/12-61/36)
(8*19/48-4/3*11/7):25/18
(19/6-44/21)*18/25 (при деление переворачивается)
15/14*18/25
3/7*9/5
ответ : 27/35
/-дробь
Автор ответа:
1
Ответ:
Пошаговое объяснение:
1) 8 : 2. 10/19 = 8 : 48/19 =
8 * 19/48 = 1 * 19/6 = 19/6 =
3. 1/6
2) 1. 13/15 * 1. 6/49 =
28/15 * 55/49 = 4/3 * 11/7 = 44/21 = 2. 2/21
3) 3. 1/6 - 2. 2/21 =
3. 7/42 - 2. 4/42 = 1. 3/42 =
1. 1/14
4) 3. 1/12 - 1. 25/36 =
3. 3/36 - 1. 25/36 =
2. 39/36 - 1. 25/36 =
1. 14/36 = 1. 7/18
5) 1. 1/14 : 1. 7/18 =
15/14 : 25/18 = 15/14 * 18/25 = 3/7 * 9/5 = 27/35
Ответ: 27/35
Похожие вопросы
Предмет: Английский язык,
автор: Vadimslava
Предмет: Английский язык,
автор: янбаева
Предмет: Другие предметы,
автор: Некто111111111
Предмет: Биология,
автор: Динаvvv
Предмет: Химия,
автор: marmeladka50