Предмет: Алгебра,
автор: Layawife
срочно пожалуйста прошууу
Приложения:
Ответы
Автор ответа:
1
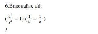
Ответ:
Смотри решение на фото...
Приложения:
Layawife:
спасибо
Автор ответа:
1
Смотри................
Приложения:
Обновить страничку, поставила
Похожие вопросы
Предмет: Русский язык,
автор: Kotik563
Предмет: Қазақ тiлi,
автор: ArinaZmeikova
Предмет: Окружающий мир,
автор: олга14
Предмет: Русский язык,
автор: amir7868
Предмет: Русский язык,
автор: oksanabalaisa