Предмет: Геометрия,
автор: alahbabah2285
срочно помогите решить пожалуйста.
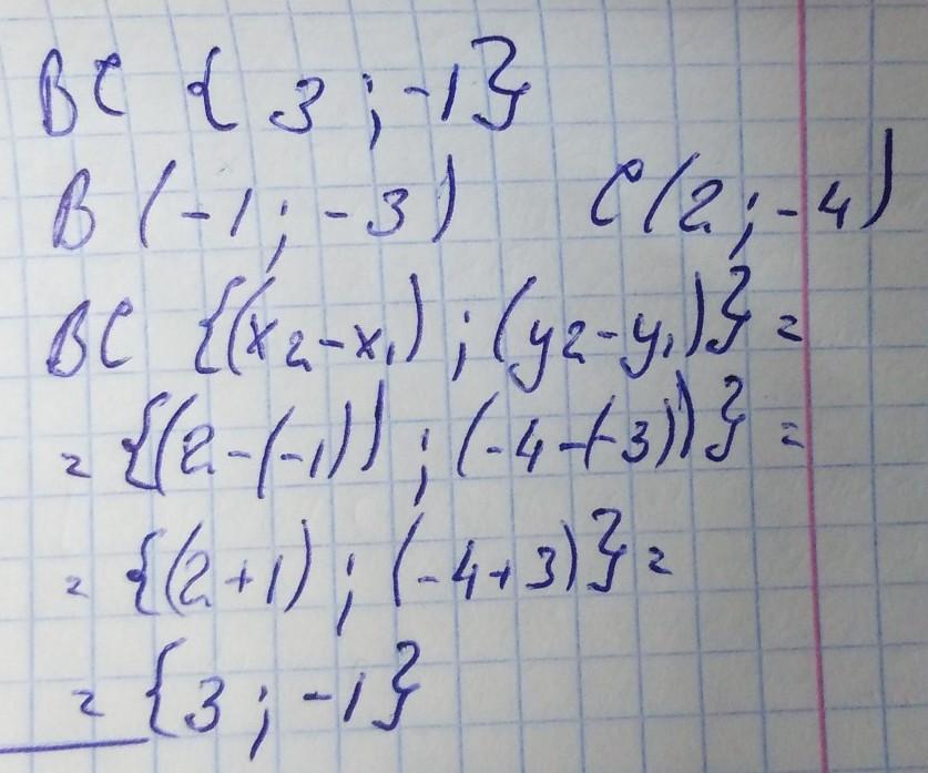
найдите координаты вектора BC, если B (-1;-3), C(2;-4)
Ответы
Автор ответа:
2
Ответ дан в фотографии.........
Приложения:
Похожие вопросы
Предмет: Английский язык,
автор: БАНДЖО
Предмет: Окружающий мир,
автор: nika1104
Предмет: Английский язык,
автор: Ульяшка10
Предмет: Геометрия,
автор: gaskarovaitat