Предмет: Алгебра,
автор: Аноним
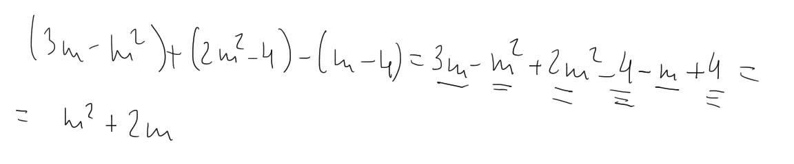
перетворити вираз на многочлен стандартного вигляду (3m-m²)+(2m²-4)-(m-4)
Ответы
Автор ответа:
1
Ответ:
так
Объяснение:
Приложения:
Автор ответа:
2
то что отмечено цветами одинаковыми, их нужно сложить/отнять. то что зелёным, мы их сокращаем т.к числа одинаковы, но разны значения ( плюс и минус) потому четвёрки мы сокращаем. и решаем дальше другое. и в итоге выходит 2m+m^2
Приложения:
Похожие вопросы
Предмет: Русский язык,
автор: znania2016
Предмет: Русский язык,
автор: Аноним
Предмет: Русский язык,
автор: prusudana
Предмет: Математика,
автор: bretoshm
Предмет: Алгебра,
автор: TheEpikGold