Предмет: Алгебра, автор: kitsyyne

20 Баллов
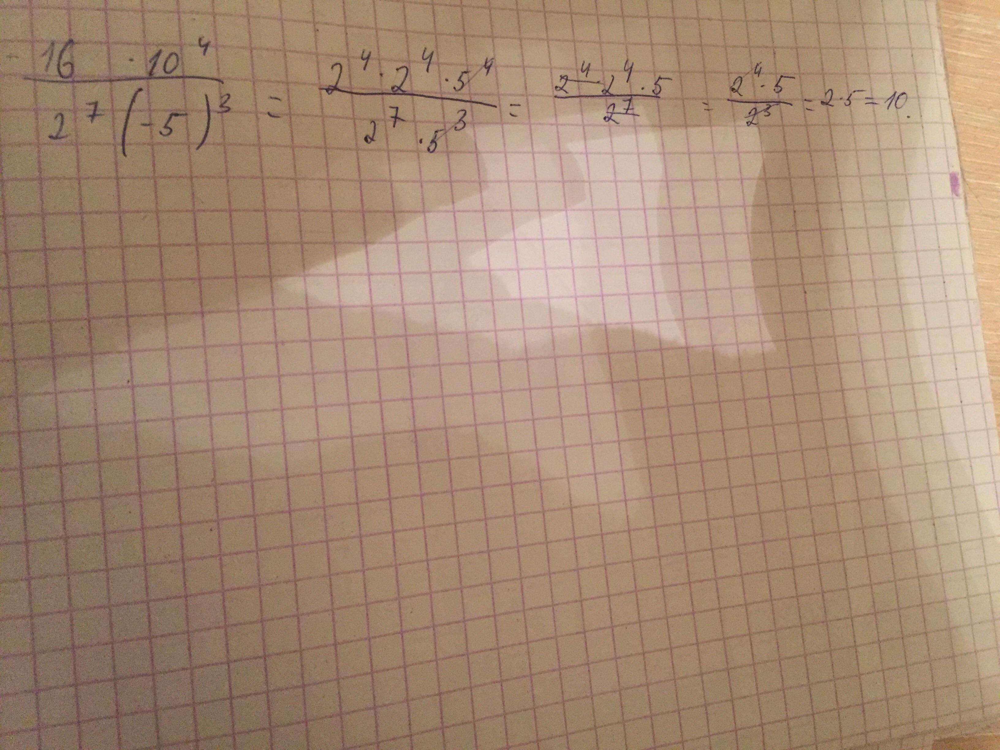
Срочно
Решить

Приложения:

Ответы

Автор ответа: MikeRex
2

Ответ:

////////////

Изменяюсь за тень,лампа перегорела

Объяснение:

Приложения:

kitsyyne: спасибо вам
MikeRex: ;)
Похожие вопросы
Предмет: Қазақ тiлi, автор: Аноним
Пожалуйста,нужен перевод, не через переводчик. перевод осмысленный. хотябы 1 текст, пожалуйста 
Ақылыңа ақыл қос!

Әкең мен анаң саған өмір сыйлайды. Олардың есіл-дерті – сен бақытты болса екен деу. Екеуінің денсаулығын сақта, бабын тап.
Сенің адал өмір сүруің, еңбексүйгіштігің, оқуда маңдай алды болуың, еңбектегі табыстарың - ата-аналарың үшін айтып жеткізгісіз зор бақыт. Өз үйіңнің бағын жандыра біл.
Анаң сен үшін түн ұйқысын төрт бөліп, таң атырады. Сондықтан да, анаңның жүрегін сезе біл, анаңның көз жанарынан көңіл хошы мен тыныштықты, бақыт пен қуаныш нұрын, беймазалық пен әбігершілікті, қиналыс пен кейістікті көре біл.
Жастайыңнан анаңның көзінен жан дүниесіндегі кейістікті көре білуге үйренбесең, сен ғұмыр бойы адамгершілік тұрғысынан ақ көз борып өтесің.
Ата мен әке алдында шыншыл бол. Ешкімнің ала жібін аттама! Ата-анаңның құптауынсыз істеуге болмайтын нәрсеге олардың рұқсат, ризалығын ал.
Сен өзіңнің бірінші жалақыңды алғанда анаңа, әжеңе сыйлық алып бер. Бұл сыйлық - өзің айтар алғыстың белгісі.



Қазақстан балалар жазушылары
Қазақ балалар жазушылары ретінде Ілияс Жансүгіров, Өтебай Тұрманжанов, Мұзафар Әлімбаев, Бердібек Соқпақбаев, Сұлтан Қалиев тағы басқаларды атауға болады.
Ілияс Жансүгіровтің балаларды еңбекті қадірлеуге, еңбек адамын құрметтеуге үйрететін, тақырыбы жағынан үндес келетін бірі - әңгіме («Шәркей»), бірі - өлең(«Малта») екі шығармасын айтуға болады.
Өтебай Тұрманжанов жасөспірімдерге арнап көптеген шығармалар жазды. Еңбек тәрбиесін жырлайтын: «Қарлығаш, дәуіт және жылан», «Жолбарыс», «Жолаушы мен жеті қасқыр» т. б шығармалары бар.
Қазақ балалар жазушыларының қай шығармасын алсақ та, балаларды ерлікке, ынтымаққа, достыққа баулитын шығармалар.

Предмет: Алгебра, автор: zum01051960