Предмет: Алгебра,
автор: kksjwm
Помогите Даю 35 баллов
Приложения:
Ответы
Автор ответа:
0
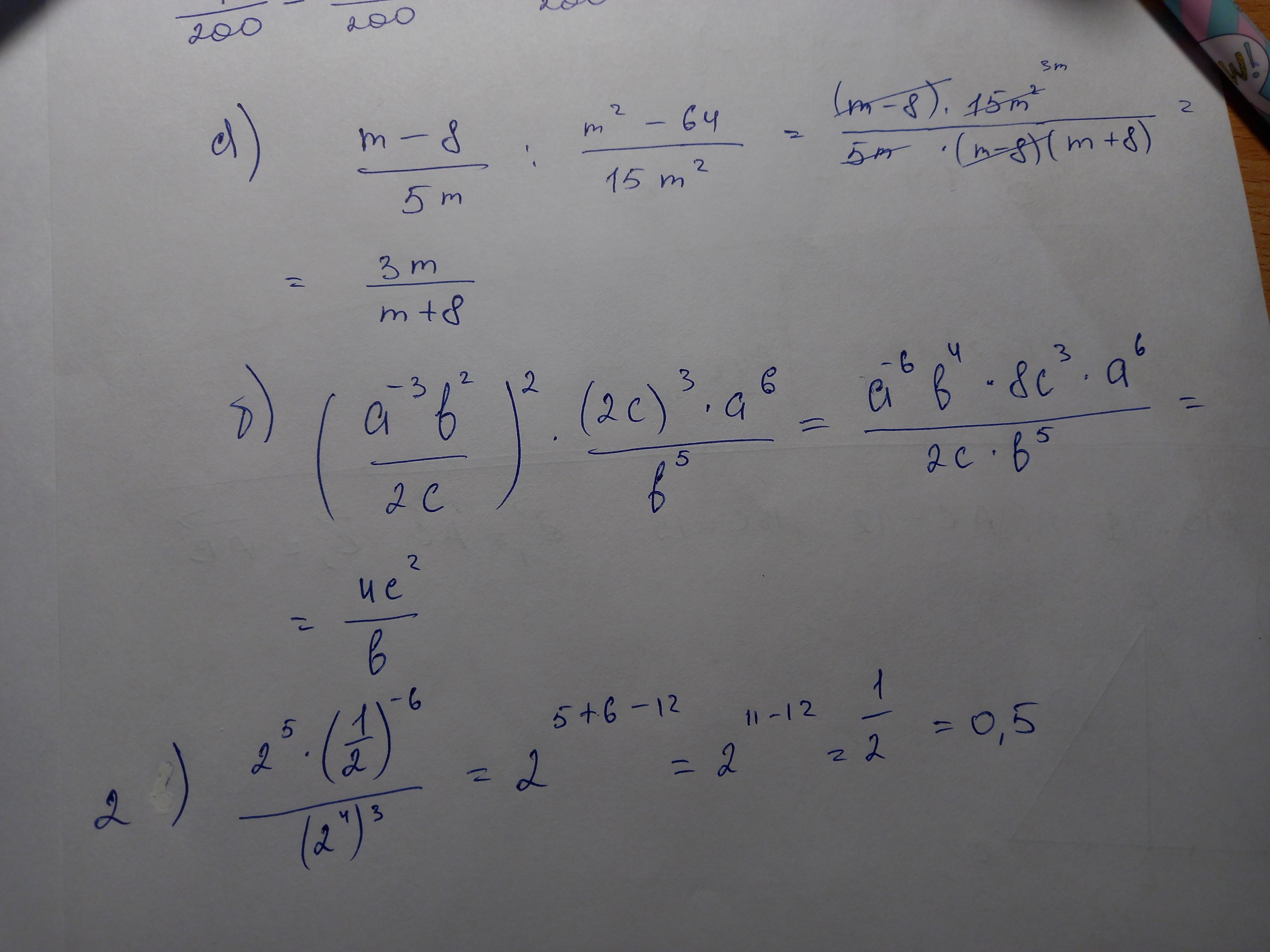
Ответ:1) a. 3m/(m+8)
б. 4c^2/(b)
2) 0.5
Объяснение:
Приложения:
Похожие вопросы
Предмет: Английский язык,
автор: дэйзи3
Предмет: Русский язык,
автор: Hayam
Предмет: Русский язык,
автор: sawelich
Предмет: Литература,
автор: mishamikhaylov03
Предмет: Литература,
автор: cglushakow2004