Предмет: Алгебра,
автор: Аноним
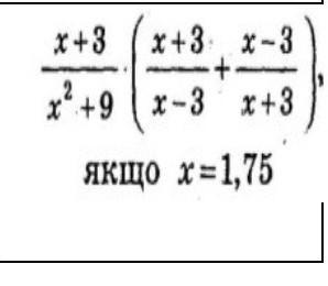
знайдіть значення виразу; помогите пожалуййййййста
Приложения:
Ответы
Автор ответа:
2
Ответ:
Объяснение:
решение внизу
Приложения:
parus77:
извини,но я только зашла на сайт.
Похожие вопросы
Предмет: Английский язык,
автор: vanyatrefilov
Предмет: Русский язык,
автор: Wooy
Предмет: Русский язык,
автор: Аноним
Предмет: Математика,
автор: vaprgvarvyarar
Предмет: Английский язык,
автор: lponomareva819573