Предмет: Алгебра,
автор: Аноним
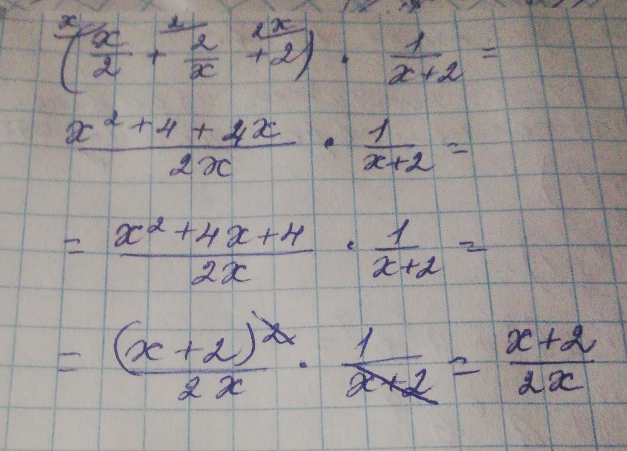
помогите пж решить дробь
Приложения:
Ответы
Автор ответа:
1
Ответ:
Смотри решение на фото...
Приложения:
Похожие вопросы
Предмет: Русский язык,
автор: Krivoshlykova
Предмет: Окружающий мир,
автор: Аноним
Предмет: Другие предметы,
автор: слива4
Предмет: География,
автор: size122786
Предмет: Математика,
автор: unikorn1234