Предмет: Математика, автор: Аноним

2. Знайди найбільший спільний дільник чисел 54 і 18. даю 90 баллов хееелп​

Ответы

Автор ответа: lilybunch
1

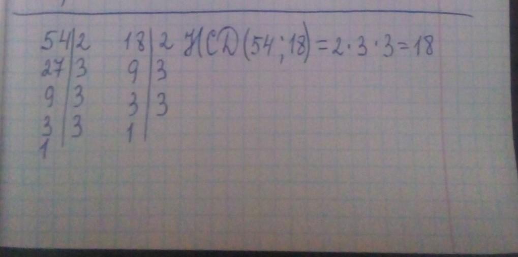
Ответ:

НОД(54, 18) = 2 × 3 × 3 = 18

Пошаговое объяснение:

Всё просто

Автор ответа: Elena3982
2

Пошаговое объяснение:

Держи свой ответ......

Приложения:
Похожие вопросы
Предмет: Русский язык, автор: Жека20001
Найдите вводные слова
Друзья, вы когда-нибудь любовались морозными узорами на стекле? Восторгались пушистыми от снега ветвями, переплетающимися в чудесное кружево? К сожалению, такая красота не долговечна. А вот эти ажурные узоры не исчезнут и не растают.И создали их не морозы и снежные вьюги, а руки искусных мастериц
Кружева плели во многих уголках России: в Ельце, Рязани, Вятке, Мценске...Издавна славилась кружевами и старинная Вологда. Солнце и звезды, ледяные цветы и гирлянды, забавные фигурки людей и волшебные травы, сказочные птицы-павы и причудливый орнамент - эти чудеса можно увидеть на ажурных вологодских кружевах. Вот салфетки, как пушистые снежинки, здесь воротнички, как фантастические паутинки, а тут мы видим воздушные шали, словно ажурные покрывала... Вологодские кружева нынче в почете и уважении. Украшая быт этими замысловатыми узорами, человек окружает себя красотой и добром.