Предмет: Алгебра, автор: alucard252003

Помогите, пожалуйста!
В)-не явно
Г) Параметрически

Приложения:

Ответы

Автор ответа: NNNLLL54
0

Ответ:

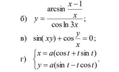
\displaystyle 1)\ \ y=\frac{arcsin\frac{x-1}{x}}{cos(ln3x)}\\\\\\\Big(arcsin\frac{x-1}{x}\Big)'=\frac{1}{\sqrt{1-\dfrac{(x-1)^2}{x^2}}}\cdot \frac{x-(x-1)}{x^2}=\frac{x}{\sqrt{2x-1}}\cdot \frac{1}{x^2}=\frac{1}{x\cdot \sqrt{2x-1}}\\\\\\\Big(cos(ln3x)\Big)'=-sin(ln3x)\cdot \frac{3}{3x}=-\frac{sin(ln3x)}{x}\\\\\\y'=\frac{\dfrac{1}{x\cdot \sqrt{2x-1}}\cdot cos(ln3x)+arcsin\dfrac{x-1}{x}\cdot \dfrac{sin(ln3x)}{x}}{cos^2(ln3x)}

\displaystyle 2)\ \ sin(xy)+cos\frac{y}{x}=0\\\\\\cos(xy)\cdot (y+xy')-sin\frac{y}{x}\cdot \frac{y'\cdot x-y\cdot 1}{x^2}=0\\\\\\y\cdot cos(xy)+xy'\cdot cos(xy)-\frac{y'}{x}\cdot  sin\frac{y}{x}+\frac{y}{x^2}\cdot sin\frac{y}{x}=0\\\\\\y'\cdot \Big(x\cdot cos(xy)-\frac{1}{x}\cdot sin\frac{y}{x}\Big)=-y\cdot cos(xy)-\frac{y}{x^2}\cdot sin\frac{y}{x}\\\\\\y'=\frac{-y\cdot cos(xy)-\dfrac{y}{x^2}\cdot sin\dfrac{y}{x}}{x\cdot cos(xy)-\dfrac{1}{x}\cdot sin\dfrac{y}{x}}

3)\ \ \left\{\begin{array}{l}x=a(cost+tsint)\\y=a(sint-t\, cost)\end{array}\right\\\\\\x'_{t}=a(-sint+sint+t\, cost)=a\, t\, cost\\\\y'_{t}=a(cost-(cost-t\, sint))=a\, t\, sint\\\\\\y'_{x}=\dfrac{y'_{t}}{x'_{t}}=\dfrac{a\, t\, sint}{a\, t\, cost}=tgt

Похожие вопросы
Предмет: Математика, автор: akypura