Предмет: Математика,
автор: ilgargamzaev1
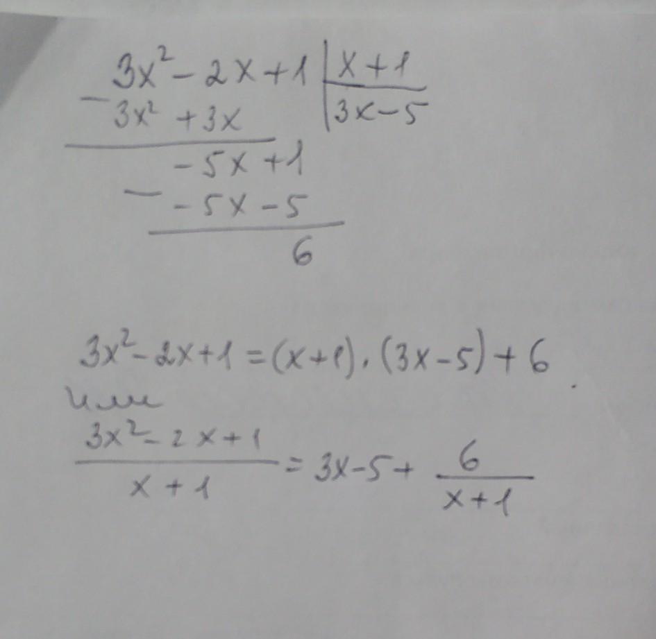
выполните деление столбиком (3х^2-2х+1):(х+1) пожалуйста очень надо
Ответы
Автор ответа:
1
Пошаговое объяснение:
решение во вложении...
Приложения:
Похожие вопросы
Предмет: Русский язык,
автор: Аноним
Предмет: Русский язык,
автор: жанар32
Предмет: Русский язык,
автор: KALINKAMALINKA777
Предмет: Математика,
автор: ghasenova32
Предмет: Алгебра,
автор: adilkazetov