Предмет: Алгебра,
автор: seva27032009
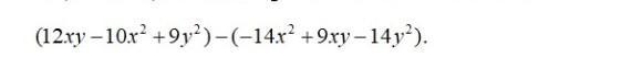
помогите пожалуйста найти разность многочленов
Приложения:
seva27032009:
У меня в профиле такое же задание, но там можно получить 10 баллов.
Ответы
Автор ответа:
2
Отметьте пожалуйста лучшим решением и поставьте сердечко
Приложения:
Похожие вопросы
Предмет: Другие предметы,
автор: богдан4410
Предмет: Русский язык,
автор: wtfofweplp
Предмет: Русский язык,
автор: gaydacat
Предмет: История,
автор: aisanasyzdykova
Предмет: Математика,
автор: sofiaromanova12