Предмет: Математика, автор: maxepic588

(-6 1/4):(-5/8)
напишите полный разбор

Ответы

Автор ответа: arminasta5
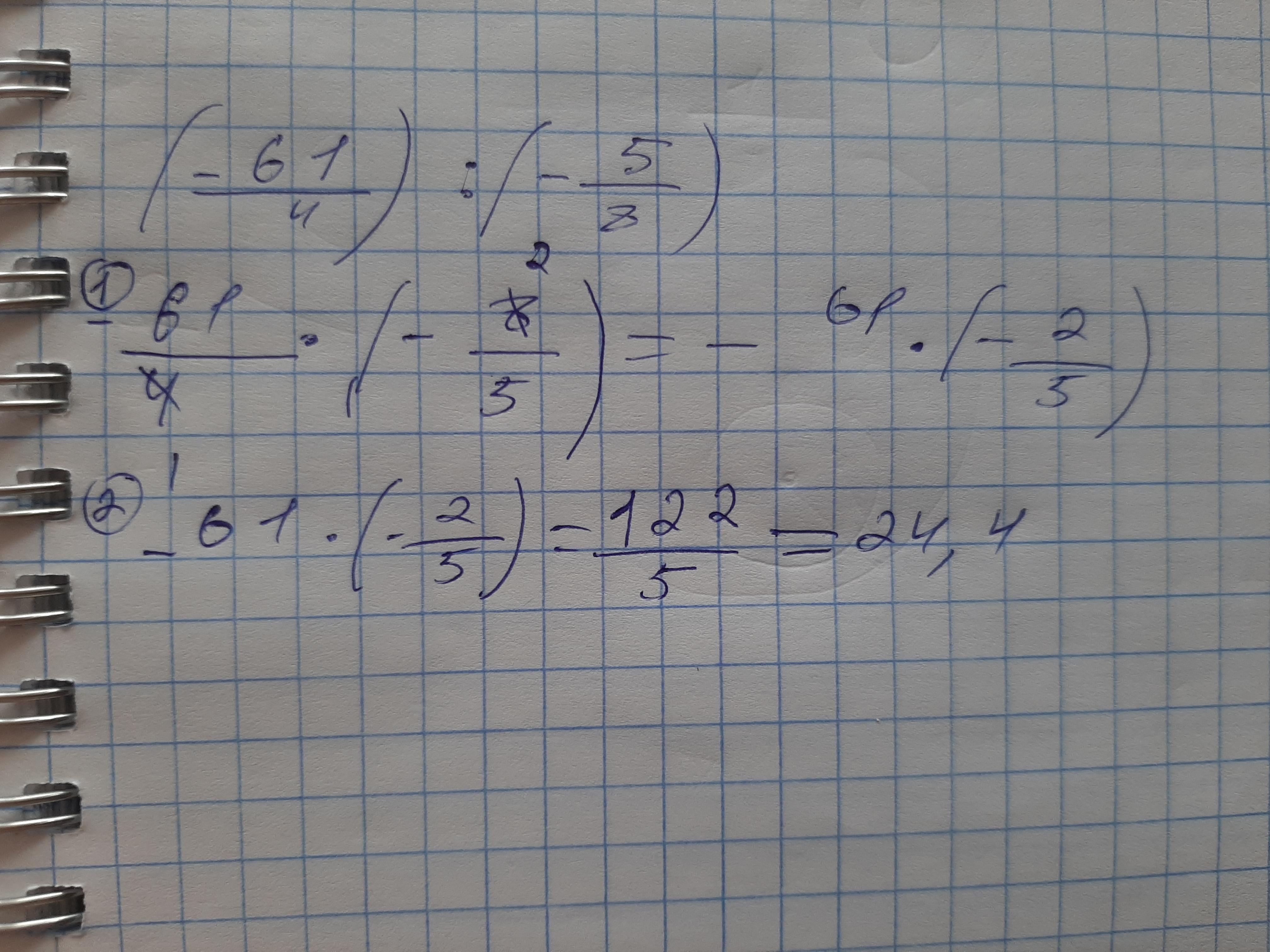
1

Ответ:

Пошаговое объяснение:

Приложения:

maxepic588: ты дурачок? -6 1/4 между 6 и 1/4 пробел это значит (6 целых 1/4:(-5/8)
maxepic588: ты дурачок? -6 1/4 между 6 и 1/4 пробел это значит (-6 целых 1/4:(-5/8)*
Автор ответа: itolentaeva
1

Ответ:

Пошаговое объяснение:

(-25/4)/(-5/8)

если (-)/(-)=+

тогда   \frac{25}{4 } / \frac{5}{8} = \frac{25}{4}*\frac{8}{5}= \frac{5*5*2}{5} = 10

                 

           


maxepic588: ты дурачок? -6 1/4 между 6 и 1/4 пробел это значит (-6 целых 1/4:(-5/8)
itolentaeva: ?????????
maxepic588: БЛ
maxepic588: сори
maxepic588: благодарю
Похожие вопросы
Предмет: Русский язык, автор: вика062006
Предмет: Русский язык, автор: kati6695
Предмет: Русский язык, автор: hadi8015