Предмет: Математика,
автор: tim2k1812
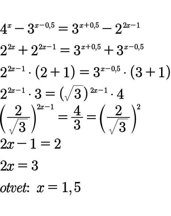
Розв'язати рівняння.Даю 40 балов
Приложения:
Ответы
Автор ответа:
2
Ответ:
1,5
Пошаговое объяснение:
.............................
Приложения:
Похожие вопросы
Предмет: Английский язык,
автор: kittkat1
Предмет: Окружающий мир,
автор: y4eHu4oK
Предмет: Английский язык,
автор: марзия2004
Предмет: Математика,
автор: alinaalinalina83
Предмет: Геометрия,
автор: klavacocakrist