Предмет: Алгебра,
автор: mihailtorlopo
помогите плиз дам 20 балов
Приложения:
Ответы
Автор ответа:
0
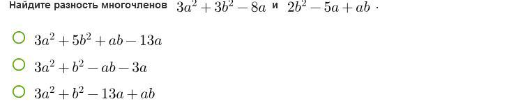
ответ 2 вот решение))))))
Приложения:
Похожие вопросы
Предмет: Қазақ тiлi,
автор: 11GAZ11GAZ11
Предмет: Английский язык,
автор: НютаСтолярова
Предмет: Русский язык,
автор: Мария2005Шенни
Предмет: Математика,
автор: Ruskurilov