Предмет: Алгебра,
автор: p15125
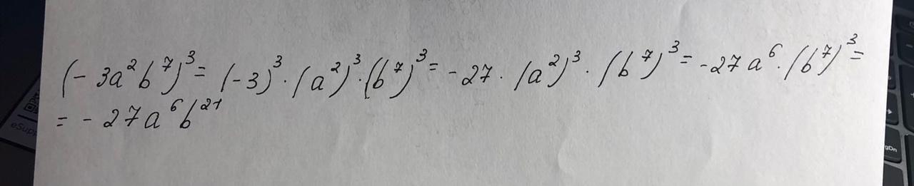
Помогите пж: звести до стандартного вигляду одночлен (-3a²b⁷)³
Ответы
Автор ответа:
0
Ответ на фотографии.
Приложения:
Похожие вопросы
Предмет: Другие предметы,
автор: Аноним
Предмет: Русский язык,
автор: stefs
Предмет: Қазақ тiлi,
автор: LadaSlp
Предмет: Алгебра,
автор: liza8075
Предмет: Математика,
автор: amnsi01001