Предмет: Математика,
автор: ЯнаДзагоева11
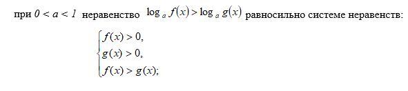
Математика срочноо!! Верно или неверно?
Приложения:
Ответы
Автор ответа:
1
Ответ:
Неверно
Пошаговое объяснение:
Если 0<a<1, то знак неравенства в алгебраическом неравенстве противоположен знаку в логарифмическом неравенстве
ЯнаДзагоева11:
сябки
Похожие вопросы
Предмет: Русский язык,
автор: гггнеа
Предмет: Английский язык,
автор: ник2033
Предмет: Русский язык,
автор: mentмент32
Предмет: Математика,
автор: iratursunova55
Предмет: Английский язык,
автор: anastasiaterakpe8atl