Предмет: Математика,
автор: schoolitscool8
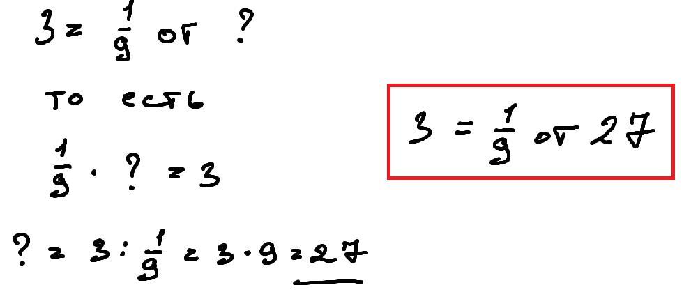
Как заполнять пропуски? например 3-это одна девятая от ? (дроби 3 класс)
Ответы
Автор ответа:
0
Ответ:
Фото
Пошаговое объяснение:
Приложения:
schoolitscool8:
В смысле? в учебнике написано 3-это одна девятая от ...
3 - это одна девятая от 27
я описал процесс, как это рассчитывается
Спасибо, поняла
Автор ответа:
0
Ответ:тоесть например 4 это одна пятая от 20
Пошаговое объяснение:надо просто умножить число на например: одна шестая от 42 тоесть 42:6=7
Спасибо, только надо ещё *1 мы в классе так делаем
Похожие вопросы
Предмет: Русский язык,
автор: alina04080
Предмет: Русский язык,
автор: ванесса9
Предмет: Другие предметы,
автор: Аноним
Предмет: Математика,
автор: psvxa
Предмет: Математика,
автор: artscut499