Предмет: Алгебра,
автор: morgenstern2014
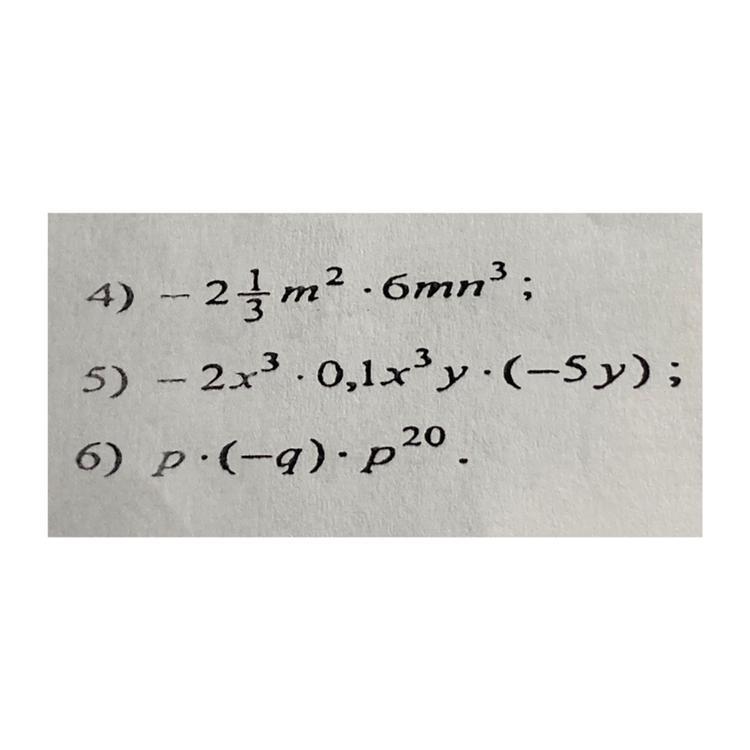
приведите одночлен к стандартному виду, укажите его коэффицент и степень:
Приложения:
Ответы
Автор ответа:
0
Ответ:
Смотри решение на фото..
Приложения:
Похожие вопросы
Предмет: Русский язык,
автор: KaRiNa01032004
Предмет: Русский язык,
автор: nata19802
Предмет: Русский язык,
автор: Аноним
Предмет: Английский язык,
автор: 16nicola
Предмет: Математика,
автор: АлисаКотRUS