Предмет: Математика,
автор: danya7171
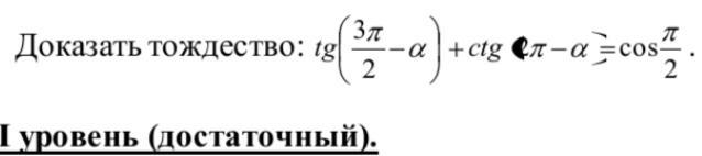
Докажите тождество. СРОЧНО НАДО
Приложения:
Ответы
Автор ответа:
2
Ответ:
в условии не очень понятно написано, поэтому вот для двух случаев
Приложения:
Похожие вопросы
Предмет: Окружающий мир,
автор: ника685
Предмет: Английский язык,
автор: TanyaCvet1
Предмет: Русский язык,
автор: ксюша759
Предмет: Математика,
автор: rzagalievadarina
Предмет: Математика,
автор: gengigh