Предмет: Алгебра,
автор: aleks228kemt
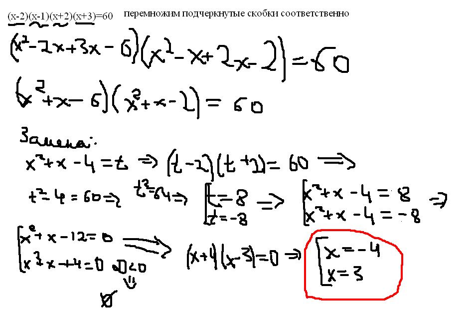
решите уравнение плз
(x-2)(x-1)(x+2)(x+3)=60
Ответы
Автор ответа:
0
Вот, собственно, решение.
Приложения:
Похожие вопросы
Предмет: Английский язык,
автор: danaegorova13
Предмет: Литература,
автор: Аноним
Предмет: Математика,
автор: kiratrubina20
Предмет: Математика,
автор: turel1234
Предмет: Математика,
автор: Данисса