Предмет: Математика,
автор: applealisia
СРОЧНО!!!помогите пожалуйста, очень срочно
Приложения:
Ответы
Автор ответа:
0
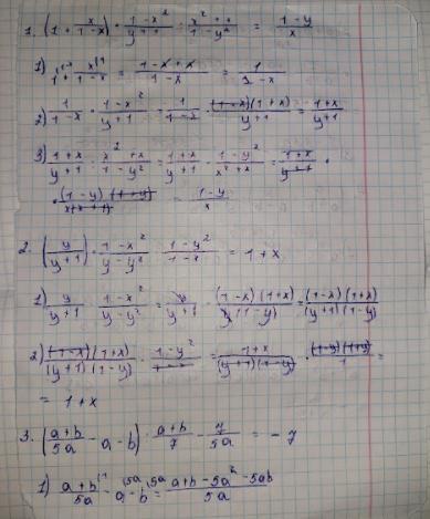
Всё подробно на фото.
Приложения:
Похожие вопросы
Предмет: Русский язык,
автор: jjjjjj3
Предмет: Русский язык,
автор: wwwvovkaRU777
Предмет: Другие предметы,
автор: olegstar74
Предмет: Литература,
автор: xeniar2005
Предмет: Алгебра,
автор: radiginvlad64