Предмет: Математика,
автор: 211dron112
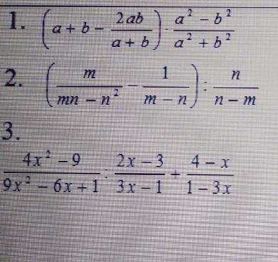
даю 50 баллов,нужно решить по действиям
Приложения:
Ответы
Автор ответа:
0
Пошаговое объяснение:
.........................
Приложения:
Похожие вопросы
Предмет: Русский язык,
автор: LennBad
Предмет: Окружающий мир,
автор: Аноним
Предмет: Русский язык,
автор: SyukovKirill
Предмет: Математика,
автор: Vikachoc