Предмет: Физика,
автор: ivankisilov05
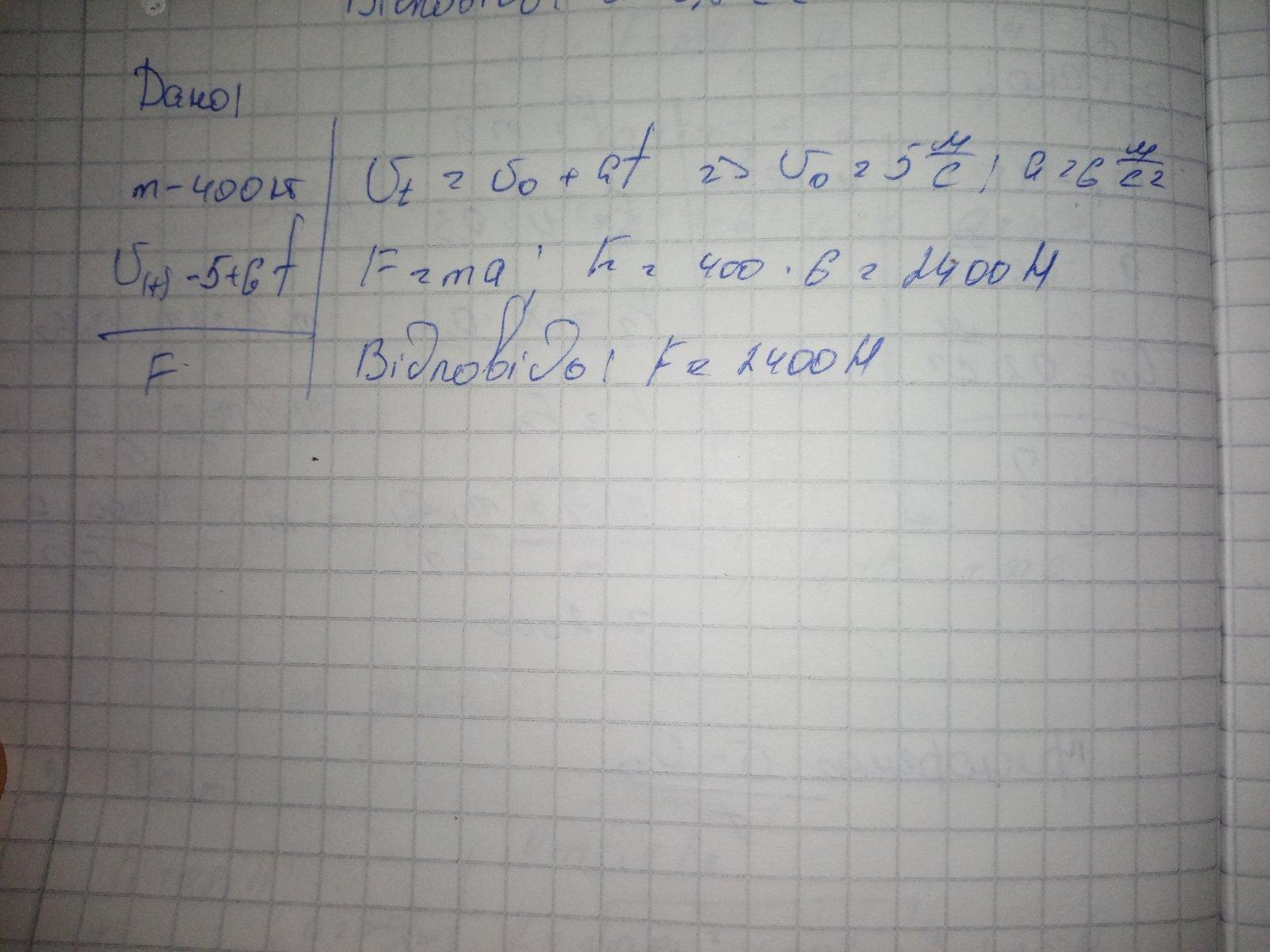
Знайдіть силу, що діє на тіло масою 400 кг, яке рухається прямолінійно, а його швидкість змінюється за законом v=5+6t
Ответы
Автор ответа:
1
Ответ:
Объяснение:
по третьему закону Ньютона
Приложения:
Похожие вопросы
Предмет: Русский язык,
автор: бббйу
Предмет: Русский язык,
автор: сахиба3
Предмет: Немецкий язык,
автор: portnyaginpasha89
Предмет: Алгебра,
автор: Аноним
Предмет: Биология,
автор: simbo2424pduwq7