Предмет: Математика,
автор: polina359af
помогите решить с объяснением
(не с фотомата пожалуйста)
Приложения:
Ответы
Автор ответа:
1
Ответ:
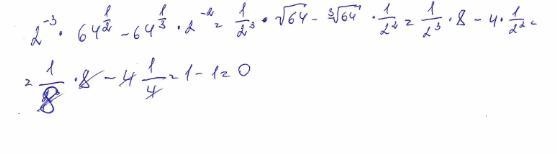
ответ во вложении
Пошаговое объяснение:
Приложения:
Похожие вопросы
Предмет: Русский язык,
автор: ксюша332005
Предмет: Русский язык,
автор: подлежащиелодки
Предмет: Английский язык,
автор: toshakovanadez
Предмет: Математика,
автор: Аноним
Предмет: Русский язык,
автор: Аноним