Предмет: Алгебра,
автор: kadievaviktoria57
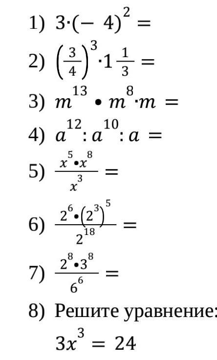
Помогите решить срочно пожалуйста
Приложения:
Ответы
Автор ответа:
0
Ответ:
1. 48
2
3 m^22
4a
5 x^10
6 2^3=6
7 2^9=512
8 x=2
kadievaviktoria57:
мне поставили 2
там всё верно. За что 2?
учитель поставила 2 всё не правильно
Похожие вопросы
Предмет: Русский язык,
автор: Аноним
Предмет: Русский язык,
автор: Elnara2006
Предмет: Английский язык,
автор: Lenivayagopa
Предмет: Английский язык,
автор: englis19
Предмет: Математика,
автор: Анджелика23