Предмет: Алгебра,
автор: Phenomenon1
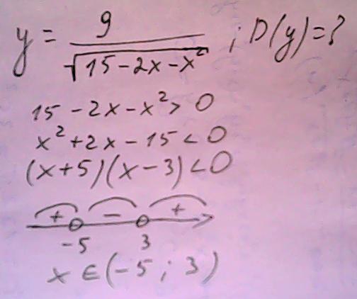
Найти область определения функции:
9(дробная черта)√15-2х-х2 (под корнем все выражение)
Ответы
Автор ответа:
0
Вот решение.................................
Приложения:
Похожие вопросы
Предмет: Қазақ тiлi,
автор: Аноним
Предмет: Английский язык,
автор: layf01
Предмет: Математика,
автор: Аноним
Предмет: Химия,
автор: WuFF