Предмет: Алгебра,
автор: vr134
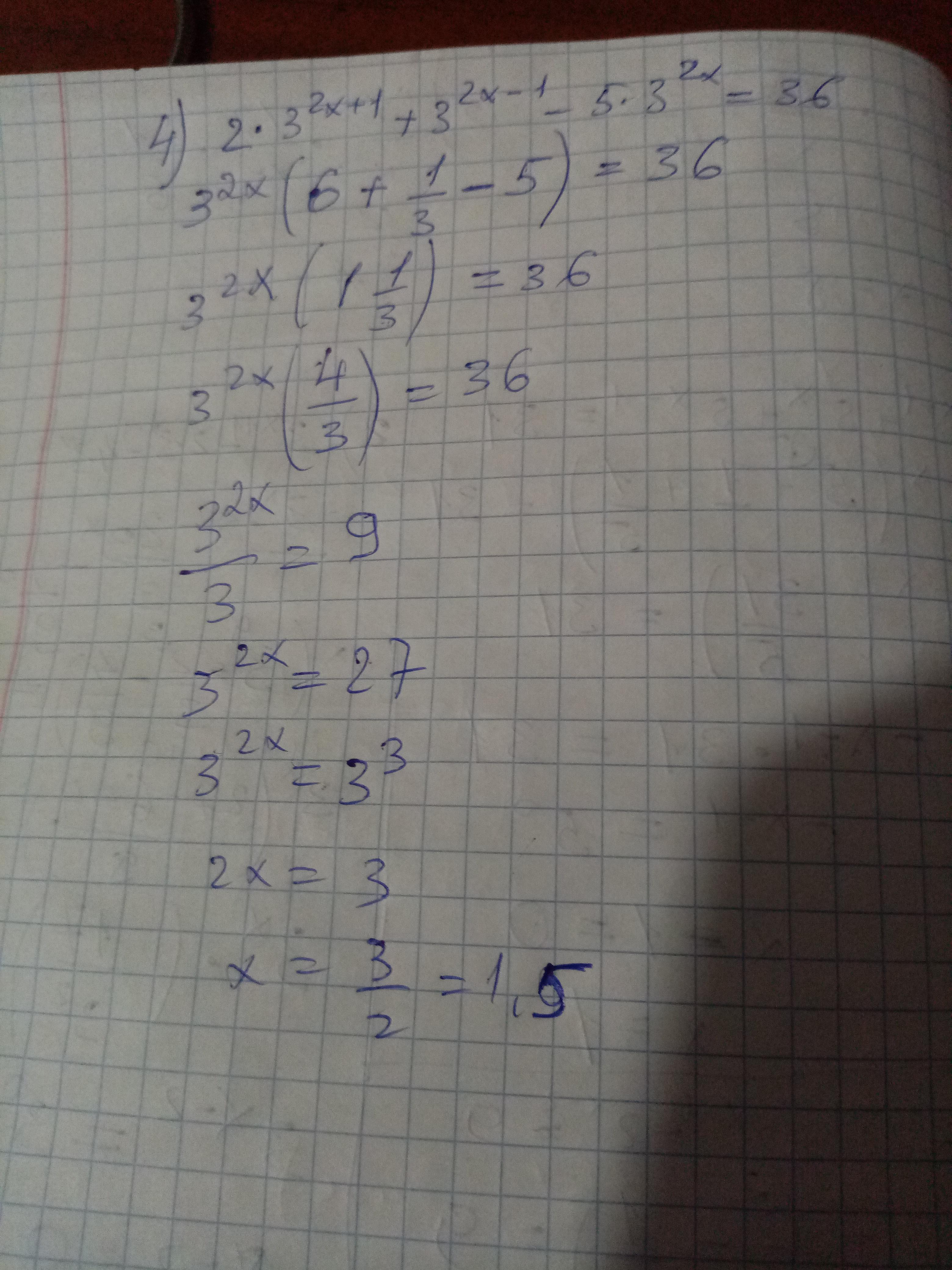
решите пожалуйста!!!!
Приложения:
Ответы
Автор ответа:
1
Ответ:
Объяснение:
Ещё пришлю
Приложения:
Похожие вопросы
Предмет: Русский язык,
автор: brekotnin
Предмет: Русский язык,
автор: Anet56inbox
Предмет: Окружающий мир,
автор: азалина1
Предмет: Алгебра,
автор: dima232016p5ugvm
Предмет: Математика,
автор: kulovanas