Предмет: Алгебра, автор: ytrewq123p

черезвычайно СРОЧНО ОСТАЛАСЬ ОДНА Мин

Приложения:

DeadHypper666: помянем

Ответы

Автор ответа: larisaserova53
0

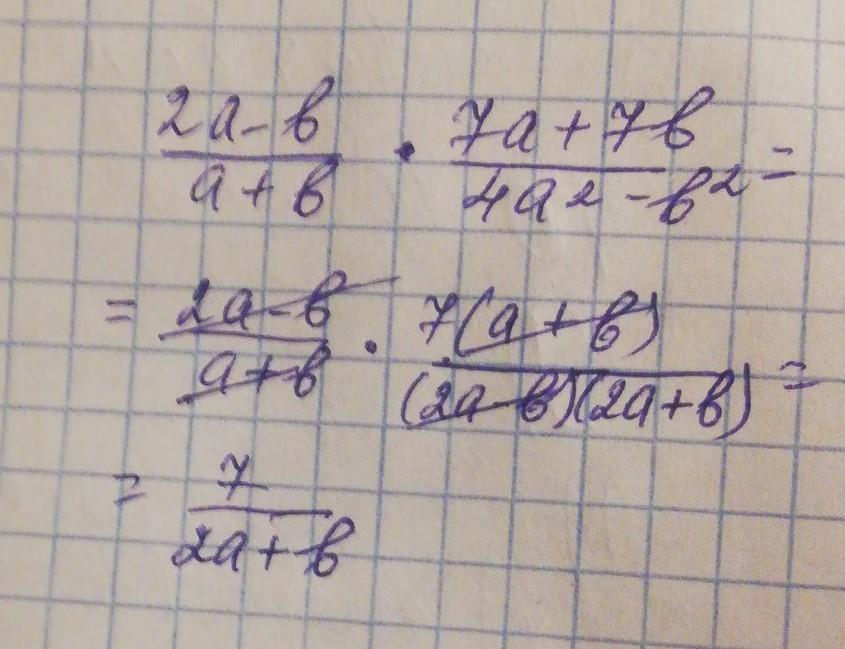
Ответ:

Смотри решение на фото..

Приложения:

ytrewq123p: попробуй решить новое задание от меня
larisaserova53: чего так поздно выкладываешь, за минуту и не успеешь решить!!!!
Автор ответа: Аноним
0

Объяснение:

 \frac{2a - b}{a + b}  \times  \frac{7a + 7b}{4a {}^{2} - b {}^{2}  }  =\frac{\left(2a-b\right)\left(7a+7b\right)}{\left(a+b\right)\left(4a^{2}-b^{2}\right)} =\frac{7\left(a+b\right)\left(2a-b\right)}{\left(a+b\right)\left(2a+b\right)\left(2a-b\right)} =\frac{7}{2a+b}

Похожие вопросы