Предмет: Геометрия, автор: karakulacucundry

помогите пожалуйста, дам 50 баллов!!!!​

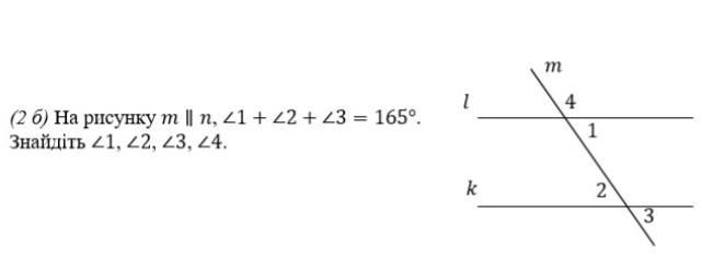
Приложения:

Ответы

Автор ответа: hedggehog
1

Вертикатикальные углы: 1, 2 и 3

Вертикальные углы равны

<1 + <2 + <3 = 165°

Так как углы равны, заменим их иксом:

3х = 165°

х = 55°

Угол 4 и угол 1 — смежные

сумма смежных углов равна 180°

<4 + 55° = 180°

<4 = 125°

Ответ: <1 = <2 = <3 = 55°, <4 = 125°

Похожие вопросы
Предмет: Немецкий язык, автор: nailik2012
предлоги в немецком языке
1. Wir treffen uns am Kino.
a- мы встречаемся в кино
b-мы встречаемся у кино
с- мы встречаемся после кино
2. Sie erhalten die Bestätigung in 3 Tagen
a- Они получат подтверждение на третий день
b-Они получат подтверждение за три дня
с-Они получат подтверждение через три дня
3. Vor 10 Jahren war er Shüler.
a- 10 лет назад он был учеником.
b-до 10 лет он был учеником.
с-С 10 лет он был учеником.
4.Nach dem Vorschlag des Leiters wurde das Labor mit neuen Geräten ausgerüset
a- По предложению руководителя лаборатория была оснащена новыми приборами.
b-После предложения руководителя лаборатория была оснащена новыми приборами
с-При предложении руководителя лаборатория была оснащена новыми приборами
5.Die Temperatur der Lösung muss nicht unter 0 sinken
a- Температура раствора не должна опускаться до 0
b-Температура раствора не должна опускаться ниже 0
с- Температура раствора не должна опускаться выше 0
6. Seit 3 Jahren studiert er Deutsch.
a- С трех лет он уже учит немецкий язык
b. Уже три года он учит немецкий язык
с-Несмотря на трехлетний возраст, он учит немецкий язык
7.Zum Fluß gingen wir durch den Park
a- Чтобы пройти к реке, мы пошли в парк.
b-К реке мы пошли за парком.
с- К реке мы пошли через парк.
8. Generatoren dienen zur Gewinnung elektrischer Energie.
a- Генераторы имеют отношение к получению электрической энергии.
b-Генераторы служат для получения электрической энергии
с-Генераторы специализируются на получение электрической энергии.
9.Russische Kraftwerke versorgen mit Elektroenergie nicht nur unser Land.
a-Российские электростанции обеспечивают электроэнергией не только нашу страну.
b-Российские электростанции работают на электроэнергии не только нашей страны.
с-Российские электростанции обеспечиваются электроэнергией не только нашей страны
Предмет: Українська мова, автор: саша1447
Предмет: Алгебра, автор: Аноним
Предмет: Математика, автор: adelbazarbaeva05