Предмет: Физика,
автор: vovailinyh8
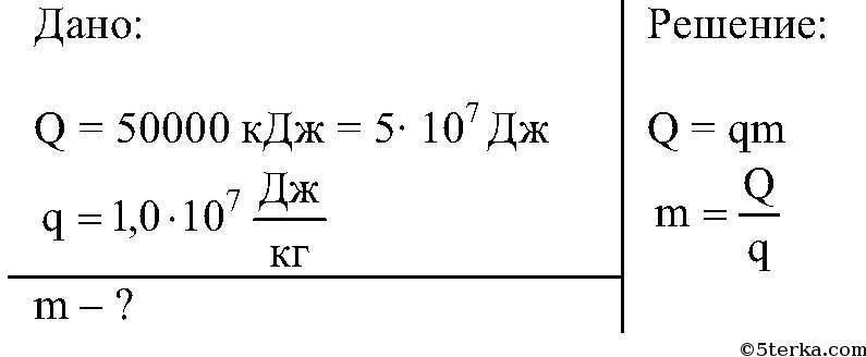
Задача по физике: сколько дров сожгли, если при этом выделилось 50кдж теплоты?
Ответы
Автор ответа:
1
Ответ:
Ответ в файле посмотри
Объяснение:
Приложения:
Похожие вопросы
Предмет: Английский язык,
автор: cdsme
Предмет: Английский язык,
автор: yanacolnze1507
Предмет: Окружающий мир,
автор: Katya2005mk1
Предмет: Алгебра,
автор: pilel