Предмет: Математика,
автор: rkkrobloks
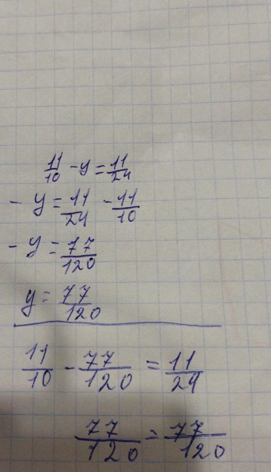
решите уравнение 11/10-y=11/24
Ответы
Автор ответа:
0
Ответ:
Смотри решение на фото..
Приложения:
larisaserova53:
Пример я, правильно записала?
Автор ответа:
0
Пошаговое объяснение:
вот решение y=77/120
надеюсь что помогла.всего хорошего
Приложения:
Похожие вопросы
Предмет: Английский язык,
автор: restartkbrru22
Предмет: Английский язык,
автор: dilan0
Предмет: Русский язык,
автор: Викуська565
Предмет: Алгебра,
автор: maschadr
Предмет: Математика,
автор: ekilli